Back to Blog

PFP Klausur SoSe 2021

Lösung der PFP-Klausur vom Sommersemester 2021 im Rahmen der Tafelübung.

5 min read

Aufgabe 1 (Wissensfragen)

a) 1 & 4

b) 1 & 3

c) 1 & 4

Aufgabe 2 (Schreibtischlauf)

a)

i) Ja, weil nach dem Starten von t dieser den Wert von answer setzen kann. Falls die Ausgabe nach dieser Änderung ausgeführt wird und der Main-Thread die Änderung sieht, ist oben genannte Ausgabe möglich.

ii) Ja, weil es aufgrund der fehlenden Synchronisation passieren kann, dass der Main-Thread die Ausgabe tätigt, noch bevor t den Wert von answer verändert hat. (Alternativ: Ja, weil die Änderung für den Main-Thread wegen fehlender Synchronisation nicht garantiert sichtbar ist. Somit kann selbst bei einer Änderung von t noch der alte Wert ausgegeben werden.)

iii) Ja, weil die Änderung eines double nicht garantiert atomar ist. Falls die Ausgabe genau während der Veränderung passiert und die partielle Änderung sichtbar ist, kann auch dieser partiell beschriebene Wert ausgegeben werden.

iv) Nein, weil in dem Programm weder potentiell endlos laufende Schleifen noch potentiell deadlockende Synchronisationspunkte enthalten sind. Somit terminiert das Programm garantiert immer und der Main-Thread tätigt eine Ausgabe.

b)

i) Nein, weil a insgesamt nur zwei mal inkrementiert wird. Es kann also nie den Wert 3 erreichen.

ii) Ja, weil die Inkrementierung von a weder atomar noch synchronisiert ist. Es kann also passieren, dass beide T-Threads gleichzeitig den Wert 0 lesen (bzw wegen fehlender Sichtbarkeitssynchronisation die Änderung des anderen Threads gar nicht mitbekommen), inkrementieren und somit beide 1 in die Variable a schreiben.

iii) Nein, weil der Zugriff auf b synchronisiert ist. b wird garantiert durch Aufaddieren von a (dessen kleinstmöglicher Wert 1 ist) geändert. Durch die CyclicBarrier wird auch Sichtbarkeit zum Main-Thread garantiert.

iv) Nein, weil b synchronisiert von zwei Threads geändert wird. Diese beiden Threads addieren jeweils den Wert von a, der minimal 1 ist. Dadurch ist der kleinstmögliche Wert von b 2. Diese Änderungen sind dank der CyclicBarrier auch für den Main-Thread sichtbar.

v) Ja, weil die Inkrementierung von c nicht atomar ist. Auch wenn diese in einen synchronized-Block gekapselt ist, führt dies wegen den unterschiedlichen Synchronisationsmarken (eigene Thread-Objekte) nicht zu einer Synchronisation.

vi) Ja, weil auch hier die Inkrementierung von d weder atomar noch synchronisiert ist. Die Methoden eines AtomicInteger sind nur für sich selbst gesehen atomar, allerdings nicht wenn diese nacheinander aufgerufen werden.

vii) Ja, weil der Main-Thread insgesamt fünf mal an der Barriere wartet. Die Subthreads selbst warten allerdings nur vier mal an dieser. Wenn der Main-Thread also in Zeile 26 wartet, wird dieser die Barriere niemals passieren können, da eben kein anderer Thread mehr an der Barriere wartet. Das Programm terminiert somit nie.

Aufgabe 3 (Mandelbrot)

import java.util.concurrent.*;

public class Mandelbrot {
    private final int POISON_PILL = -42;
    private final BlockingQueue<Integer> queue =
        new LinkedBlockingDeque<Integer>();
    public boolean [][] field;
    Worker[] workers;

    public void compute (boolean[][] field, int nThreads){
		// 1
		this.field = field;
		workers = new Worker[nThreads];

		for (int i = 0; i < nThreads; i++) {
			workers[i] = new Worker();
			workers[i].start();
		}

		// 2
		for (int i = 0; i < field.length; i++) {
			queue.add(i);
		}

		for (int i = 0; i < nThreads; i++) {
			queue.add(POISON_PILL);
		}

		for (Worker worker : workers) {
			try {
				worker.join();
			} catch (Exception e) { }
		}
    } // END COMPUTE

    class Worker extends Thread {
        public void run() {
			// 3
			int column;
			try {
				while (true) {
					column = queue.take();

					if (column == POISON_PILL) {
						break;
					}

					for (int row = 0; row < field[0].length; row++) {
						field[column][row] = check(column, row);
					}
				}
			} catch (Exception e) { }

        } // END RUN

        boolean check(int x, int y) {...}
    }
}
Mandelbrot.java (1.4 KiB) MandelbrotVisualizer.java (1.6 KiB)

Aufgabe 4 (Petri-Netz)

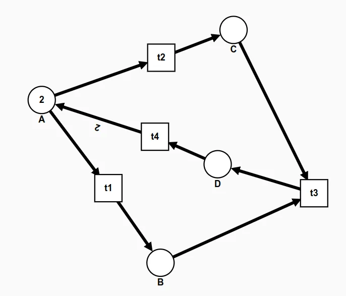
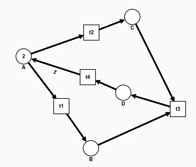
a)

Petri-Netz

b) [1, 1, 2, 4, 3]

c) Keine Transition ist lebendig, da bei dieser Belegung nach einem Feuern von t1 keine Transition mehr schalten kann.

Aufgabe 5 (Scala: Klausurstoff)

def flatten: List[List[String]] => List[String] = exs =>
  for(xs <- exs; x <- xs) yield x

def count: List[String] => List[(String, Int)] = ws => {
  def helper: List[String] => List[(String, Int)] = {
    case Nil => Nil
    case a::b::xs if a == b => {
      val continuing = helper(b::xs)
      (a, continuing.head._2+1)::continuing.tail
    }
    case x::xs => (x, 1)::helper(xs)
  }
  helper(ws.sorted)
}

// Alternativ (abgewandelt vom stuve.pad):
def count: List[String] => List[(String, Int)] = ws => {
  def helper: List[String] => List[(String, Int)] = {
    case Nil => Nil
    case x::xs => (x, xs.takeWhile(_ == x).length + 1)::helper(xs.dropWhile(_ == x))
  }
  helper(ws.sorted)
}

def getExamTopics: List[List[String]] => Int => List[String] =
  exs => n => {
    count(flatten(exs)).sortBy(_._2).map(_._1).take(n)
  }
Klausurstoff.scala (1.3 KiB)

Aufgabe 6 (Scala: Queens)

def getFreeRows: List[Field] => List[Row] = qs =>
  rows.filter(!qs.map(_._2).contains(_))

// Alternativ
def getFreeRows: List[Field] => List[Row] = qs =>
  rows.filter(r => !qs.exists(_._2 == r))

def getFreeFieldsInRow: List[Field] => Row => List[Field] = qs => row =>
  for (col <- cols if qs.filter(q => beats(q)((col, row))).length == 0) yield (col, row)

// Alternativ
def getFreeFieldsInRow: List[Field] => Row => List[Field] = qs => row =>
  for (col <- cols if !qs.exists(beats((col, row)))) yield (col, row)

def solve: List[Field] => List[Field] = queens => {
  getFreeRows(queens) match {
    case Nil => queens
    case r::_ => getFreeFieldsInRow(queens)(r).foldLeft(List[Field]())((res, trying) => {
      val now = solve(trying::queens) // Platzierung ausprobieren
      if (res.length < now.length) now else res // bisher beste nehmen
    })
  }
}
Queens.scala (1.7 KiB)